A lei dos cossenos nos permite encontrar lados ou ângulos até então desconhecidos e não se limita aos triângulos retângulos e é de fácil demonstração e uso. Nada mais agradável ao estudo matemático do que ter conhecimento das demonstrações e perspectivas para se chegar a um resultado.
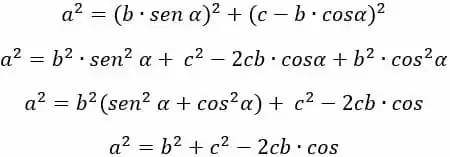
O primeiro passo para demonstrarmos a lei dos cossenos é dividirmos um triângulo qualquer em dois triângulos retângulos.

O segundo passo é relacionar os lados do triângulo retângulo da direita através do teorema de Pitágoras, pois ele envolve todos os lados, diferente do triângulo esquerdo, que apenas possui o valor de b. Então temos:

Precisamos nos atentar para uma relação, que aparece na terceira linha da demonstração e é essencial para desenvolver o cálculo.

A relação existente nessa lei funciona para qualquer um dos ângulos, caso o β (ângulo cujo lado oposto é b) seja o ângulo de referência, então teremos b² = a² + c² – 2ac*cos
Conheça também a lei dos senos Clique aqui.
AXLER, Sheldon. PRÉ-CÁLCULO: Uma Preparação para o Cálculo. 2. ed .Rio de Janeiro: LTC, 2016.